Q là tập hợp số gì Toán học là một bộ môn quan trọng không thể thiếu, chúng giúp ta có khả năng tư duy và phân tích sâu sắc hơn thông qua những bài toán số hay toán hình. Kho tàng kiến thức của bộ môn này nhiều vô số kể, cho nên muốn ghi nhớ được hết tất tần tật công thức thì bạn phải làm thật nhiều bài tập. Hãy cùng chúng tôi ôn tập lại một số khái niệm, định nghĩa cơ bản về Q là tập hợp số gì ở dưới bài viết này nhé.
Nội dung chính:
Q là tập hợp số gì?
Q là tập hợp số hữu tỉ là những các số có thể viết được dưới dạng phân số (thương số). Số hữu tỉ có thể được biểu diễn bằng một số thập phân vô hạn tuần hoàn và được viết dưới dạng là a/b, trong đó a và b là các số nguyên nhưng b phải khác 0.

Q là tập hợp số gì?
Nói một cách đơn giản: Q={ a/b; a, b∈Z, b≠0}. Một số hữu tỉ có thể được viết ở dạng phân số hay số thập phân. Ví dụ: 1/3, 2/6, 3/9,…
Số hữu tỉ có thể được biểu diễn bằng một số thập phân vô hạn tuần hoàn và bao gồm:
-
Số thập phân hữu hạn: 0.2 (1/5), 1.5 (3/2),..
-
Số thập phân vô hạn tuần hoàn: 0.33333… (1/3), 0.111111… (1/9),…
-
Tập hợp số nguyên (Z) cả số giá trị âm và giá trị dương: – 3, -2, -1, 0, 1, 2, 3,…
-
Tập hợp số tự nhiên (N): 1, 2, 3, 4,…
Tính chất của số hữu tỉ
Q là tập hợp số hữu tỉ đếm được và có những tính chất sau:

Số hữu tỉ có tính chất như nào?
-
Phép nhân số hữu tỉ có dạng a/b * c/d = a*c/ b*d. Ví dụ: 3/2 * 5/7 = 3*5/2*7 = 15/14.
-
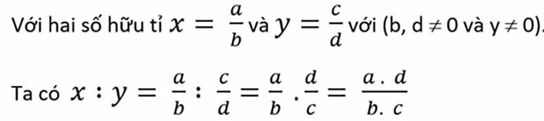
Phép chia số hữu tỉ có dạng a/ b : c/d = a*d/ b*c. Ví dụ: 4/5 : 3/7 = 4*7/ 3*5 = 28/15.
-
Giá trị tuyệt đối của một số hữu tỉ: |x| = x nếu x≥0 và |x| = -x nếu x<0
-
Lũy thừa của một số hữu tỉ bằng tích của các lũy thừa.
-
Số đối của số hữu tỉ là một số hữu tỉ mà khi cộng hai số với nhau cho kết quả bằng 0.
Trong đó, nếu Q là số dương thì số đối của nó là số hữu tỉ âm và ngược lại. Khi cộng số hữu tỉ và số đối của nó ta được kết quả là 0. Ví dụ: số hữu tỉ 3/2 có số đối là (-3/2).
Các phép tính với số hữu tỉ
Với phép cộng, trừ hai số hữu tỉ x, y thì chúng ta sẽ viết chúng dưới dạng hai phân số có cùng một mẫu dương sau đó áp dụng quy tắc cộng, trừ phân số như bình thường. Cụ thể với phép cộng số hữu tỉ sẽ có các tính chất như phép cộng phân số:
-
Tính chất giao hoán
-
Tính chất kết hợp
Với phép nhân và phép chia hai số hữu tỉ chúng ta cũng viết các số dưới dạng phân số rồi áp dụng quy tắc nhân, chia phân số như bình thường. Bên cạnh đó, phép nhân số hữu tỉ cũng có các tính chất như đối với phép nhân phân số:

Phép chia số hữu tỉ
-
Tính chất giao hoán
-
Tính chất kết hợp
-
Nhân với số 1
-
Tính chất phân phối của phép nhân đối với phép cộng.
-
Mỗi số hữu tỉ Q khác 0 đều có một số nghịch đảo
So sánh số hữu tỉ
Để so sánh hai số hữu tỉ x, y với nhau ta làm như sau:
-
Viết x, y dưới dạng phân số cùng mẫu dương dưới dạng: x = a/m; y = b/m ( m > 0).
-
So sánh các tử số của số hữu tỉ là số nguyên a và b: nếu a > b thì x > y; a = b thì x = y còn nếu a < b thì x < y.

So sánh số hữu tỉ bằng cách viết dưới dạng phân số và so sánh tử số
Lưu ý:
-
Các số hữu tỉ lớn hơn 0 là số hữu tỉ dương, được biểu diễn bởi các điểm bên phải gốc O trên trục số.
-
Còn các số hữu tỉ nhỏ hơn 0 là số hữu tỉ âm, được biểu diễn bởi các điểm bên trái gốc O trên trục số.
-
Còn số 0 không phải số hữu tỉ dương, không phải số hữu tỉ âm.
Với những chia sẻ trên hy vọng rằng sẽ giúp các em học sinh có thể hiểu rõ hơn về Q là tập hợp số gì cũng như các định nghĩa, tính chất và phép tính về số hữu tỉ. Từ đó có thể áp dụng vào các bài toán linh hoạt nhất giúp việc học toán đơn giản, dễ hiểu hơn.



![Nắp hố ga là gì? Đặt mua nắp hố ga ở đâu? [GIẢI ĐÁP CHI TIẾT]](/wp-content/uploads/2021/12/dai-dien-nap-ho-ga-la-gi.jpg)